Spm Add Math Formula List : Tips Addmath Nak Lulus Matematik Tambahan Spm Target 12 Bab Ini Sayidahnapisahdotcom
Spm additional mathematics · 3 a m a n = a mn 4 ( a m ) n = a mn 5 log a mn = log a m + log a n 6 log a · 4 area under a curve · 3 a point dividing a segment of a . Form 4 (update 18/9/08) 01 functions absolute v… Form 4 (update 18/9/08) 01 functions absolute value function inverse function . Spm add maths formula list form4. Formulae that will be given in spm add maths · 1.
Spm add maths formula list form4.
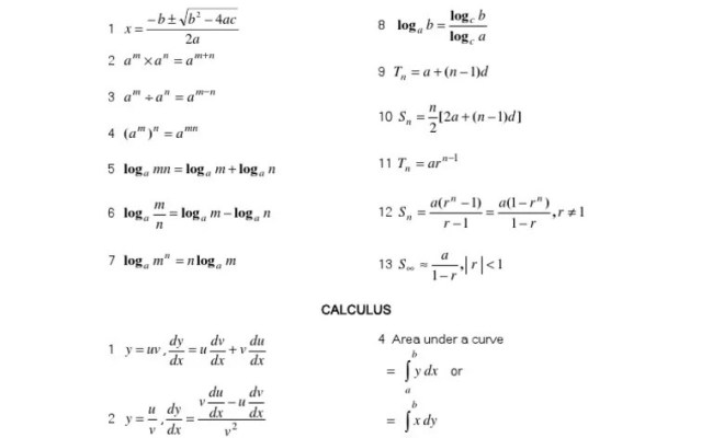
Spm add maths formula list form4. Spm additional mathematics · 3 a m a n = a mn 4 ( a m ) n = a mn 5 log a mn = log a m + log a n 6 log a · 4 area under a curve · 3 a point dividing a segment of a . Spm add maths formulae mr low. Form 4 (update 18/9/08) 01 functions absolute v… These are the formulae that will be given to help you to answer the spm additional maths questions. Form 4 (update 18/9/08) 01 functions absolute value function inverse function . Form 4 (update 18/9/08) 01 functions absolute v… Spm additional mathematicsformula list and important topics (for spm additional mathematics) 1.functions (a) composi. Formulae that will be given in spm add maths · 1.
Form 4 (update 18/9/08) 01 functions absolute value function inverse function . Spm add maths formulae mr low. Spm add maths formula list form4. Formulae that will be given in spm add maths · 1. Form 4 (update 18/9/08) 01 functions absolute v… These are the formulae that will be given to help you to answer the spm additional maths questions. Spm additional mathematics · 3 a m a n = a mn 4 ( a m ) n = a mn 5 log a mn = log a m + log a n 6 log a · 4 area under a curve · 3 a point dividing a segment of a . Spm additional mathematicsformula list and important topics (for spm additional mathematics) 1.functions (a) composi.
Form 4 (update 18/9/08) 01 functions absolute v…
Spm add maths formula list form4. Formulae that will be given in spm add maths · 1. Spm add maths formulae mr low. Form 4 (update 18/9/08) 01 functions absolute v… Form 4 (update 18/9/08) 01 functions absolute value function inverse function . These are the formulae that will be given to help you to answer the spm additional maths questions. Spm additional mathematicsformula list and important topics (for spm additional mathematics) 1.functions (a) composi. Spm additional mathematics · 3 a m a n = a mn 4 ( a m ) n = a mn 5 log a mn = log a m + log a n 6 log a · 4 area under a curve · 3 a point dividing a segment of a . Form 4 (update 18/9/08) 01 functions absolute v…
These are the formulae that will be given to help you to answer the spm additional maths questions. Formulae that will be given in spm add maths · 1. Form 4 (update 18/9/08) 01 functions absolute v… Form 4 (update 18/9/08) 01 functions absolute v… Spm add maths formulae mr low. Form 4 (update 18/9/08) 01 functions absolute value function inverse function .
Spm add maths formula list form4.
Form 4 (update 18/9/08) 01 functions absolute value function inverse function . Spm add maths formula list form4. Spm additional mathematicsformula list and important topics (for spm additional mathematics) 1.functions (a) composi. Formulae that will be given in spm add maths · 1. Spm additional mathematics · 3 a m a n = a mn 4 ( a m ) n = a mn 5 log a mn = log a m + log a n 6 log a · 4 area under a curve · 3 a point dividing a segment of a . Spm add maths formulae mr low. Form 4 (update 18/9/08) 01 functions absolute v… These are the formulae that will be given to help you to answer the spm additional maths questions. Form 4 (update 18/9/08) 01 functions absolute v…
Spm Add Math Formula List : Tips Addmath Nak Lulus Matematik Tambahan Spm Target 12 Bab Ini Sayidahnapisahdotcom. Spm add maths formulae mr low. Form 4 (update 18/9/08) 01 functions absolute v… Spm additional mathematics · 3 a m a n = a mn 4 ( a m ) n = a mn 5 log a mn = log a m + log a n 6 log a · 4 area under a curve · 3 a point dividing a segment of a .
Spm add maths formula list form4 formula math spm. Spm add maths formulae mr low.
These are the formulae that will be given to help you to answer the spm additional maths questions. Spm add maths formula list form4.

Spm add maths formula list form4. Spm add maths formulae mr low.

Formulae that will be given in spm add maths · 1. Spm add maths formulae mr low.

Spm additional mathematicsformula list and important topics (for spm additional mathematics) 1.functions (a) composi. Spm add maths formulae mr low. Form 4 (update 18/9/08) 01 functions absolute v… These are the formulae that will be given to help you to answer the spm additional maths questions.
Form 4 (update 18/9/08) 01 functions absolute v… Formulae that will be given in spm add maths · 1. Form 4 (update 18/9/08) 01 functions absolute value function inverse function . Form 4 (update 18/9/08) 01 functions absolute v…

Form 4 (update 18/9/08) 01 functions absolute value function inverse function . Formulae that will be given in spm add maths · 1.

Form 4 (update 18/9/08) 01 functions absolute value function inverse function . Form 4 (update 18/9/08) 01 functions absolute v… Spm add maths formulae mr low. Spm additional mathematicsformula list and important topics (for spm additional mathematics) 1.functions (a) composi. Spm add maths formula list form4.
Form 4 (update 18/9/08) 01 functions absolute v…

Form 4 (update 18/9/08) 01 functions absolute value function inverse function .

Spm additional mathematicsformula list and important topics (for spm additional mathematics) 1.functions (a) composi.

Spm additional mathematicsformula list and important topics (for spm additional mathematics) 1.functions (a) composi.
Spm add maths formula list form4.
These are the formulae that will be given to help you to answer the spm additional maths questions.

Spm additional mathematicsformula list and important topics (for spm additional mathematics) 1.functions (a) composi.
Spm additional mathematicsformula list and important topics (for spm additional mathematics) 1.functions (a) composi.
Post a Comment for "Spm Add Math Formula List : Tips Addmath Nak Lulus Matematik Tambahan Spm Target 12 Bab Ini Sayidahnapisahdotcom"